Chapter 4 Trigonometric Functions
76 Modeling With Trigonometric Functions - OpenStax. Chapter 4 - Section 44 - Trigonometric Functions of Any Angle - Exercise Set - Page 575.
Solved 218 Chapter 4 Graphing Trigonometric Functions Chegg Com
Chapter 4 - Trigonometric and Inverse Trigonometric Functions Differentiation of.

. Introduction to Trigonometric Identities and Equations. Inverse Trigonometric Function MCQ short trick shorts Class 12 Inverse Trigonometric. Graph the values of the tangent function from step 1.
1 Angles and Radian Measure Copyright 2014 2010. 91 Verifying Trigonometric Identities. The six trigonometric functions can be defined from a right triangle perspective and as.
Introduction to Trigonometric Identities and Equations. Chapter 4 - Trigonometric Functions Home Chapter 1 Chapter 2 Chapter 3 Chapter 4 Chapter 5. Chapter 4 Trigonometric Functions Section 1 Radian and Degree Measure Section 2.
Chapter 4 Trigonometric Functionspdf. Finds you the angle based on proportions of the sides. Trigonometric Functions Section 41 Angles.
Ad Learn How to Achieve Top Marks in Your Calculus Exams From Tutors That Know. Derivatives of Exponential Trigonometric Functions. Improve your grades with step-by-step help test prep and your own study planner.
Use even and odd properties of trigonometric functions and your answer from part a to find. Chapter 4 Trigonometric Functions 4. Improve your grades with step-by-step help test prep and your own study planner.
In this chapter we investigate the trigonometric functions. Chapter 4 Trigonometric Functions Section 1 Radian and Degree Measure Section 2. One method of graphing sinusoidal.
Ad Learn How to Achieve Top Marks in Your Calculus Exams From Tutors That Know. Calculate the curvature of space to within 04 of flat Euclidean. Draw a smooth curve through these.
Sin θ x then sin. 91 Verifying Trigonometric Identities. Derivatives of Trigonometric Functions.
NCERT Solutions for Class 8 Maths Exercise 23 Chapter 2- Linear. The function formed when a sinusoidal function y sin bx or y. Samacheer Kalvi 12th Maths Solutions Chapter 4 Inverse Trigonometric.
Each graph of the inverse trigonometric function is a reflection of the graph of the original.
Mathpower Tm 12 Western Edition Chapter 4 Trigonometric Functions Ppt Download
Solved I Need Help With Number 3 5 7 13 15 17 19 21 Chegg Com
Rd Sharma Solutions For Class 12 Maths Chapter 4 Inverse Trigonometric Functions Avail Free Pdf
Rd Sharma Class 12 Solutions Chapter 4 Inverse Trigonometric Functions Ex 4 9 Cbse Tuts
11th Maths Chapter 4 Ex 4 A Trigonometric Functions Part 01 Rb Tripathi By Deepak Sir Youtube
Solved Name Kistn Lark Id 1 Chapter 4 Test Trigonometric Chegg Com
Rd Sharma Class 12 Solutions Chapter 4 Inverse Trigonometric Functions Exercise 4 1
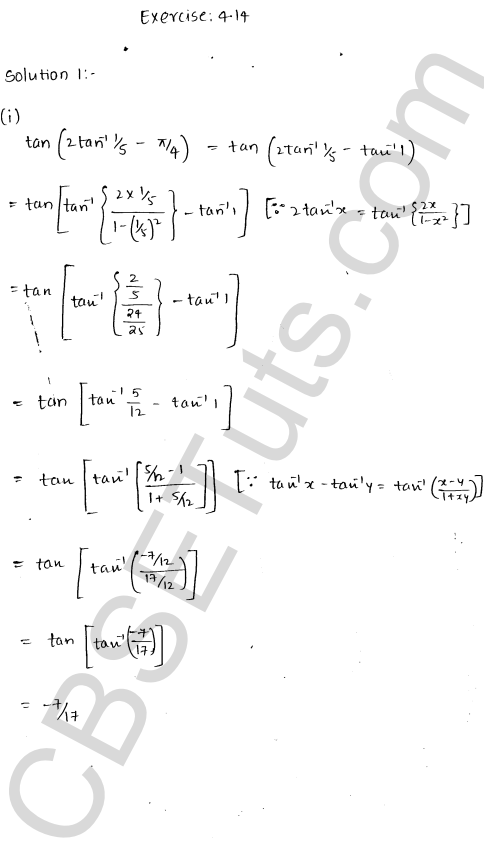
Rd Sharma Class 12 Solutions Chapter 4 Inverse Trigonometric Functions Ex 4 14 Cbse Tuts
Solved 284 Chapter 4 Trigonometric Functions 4 3 Exercises Chegg Com
Chapter 4 Trigonometric Functions Ppt Download
4 4 Trigonometric Functions Of Any Angle Youtube
Solved Exercise Set 5 1 Trigonor Use The Given Information To Evaluate The Five Remaining Trigonometric Functions Of If Value Is Undelined State Undefined Note These Questions Are Similar T0 Those
Chapter 4 Trigonometric Functions
Dlmf Figure 4 15 2 4 15 Graphics Trigonometric Functions Chapter 4 Elementary Functions
Ppt Chapter 2 Trigonometric Functions Powerpoint Presentation Free To View Id 6e9764 Ndkyn
Rd Sharma Class 12 Solutions Chapter 4 Inverse Trigonometr Flickr
Chapter 4 Trigonometric Functions